
En nylig artikkel på NRK, der barnelege Bente Kvenshagen advarer mot bruk av ull på barn med atopisk eksem, har skapt mye diskusjon. Som mor til en datter med sensitiv hud, kjente jeg umiddelbart behovet for å dele noen egne erfaringer og tanker rundt dette temaet.
Kvenshagen hevder at “ull er som piggtråd mot huden” som gir små hudskader. “Å kutte ut ull inst mot huda kan derfor vere med å førebygge eksem hos barn”. Dette bildet er litt for ensidig. Hvilken type ull snakkes det om? Hvilke studier eller observasjoner er det lagt til grunn, før man går ut som barnelege og advarer foreldre mot ull. Hva med de mange studiene som peker på fordelene ved å bruke merinoull, selv for barn med atopisk eksem? 🤔
Hva sier forskning om Merinoull og småbarn med atopisk eksem?
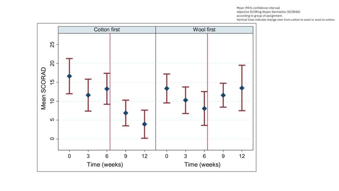
En av de mest interessante studiene jeg først har lyst til å nevne er DESSINE-studien (Determining Effects of Superfine Sheep Wool in Infantile Eczema) publisert av British Journal of Dermatology i 2017. En randomisert studie som undersøkte hvordan merinoull påvirker eksem hos de minste. Her ble det gjort observasjoner av 39 barn i alder mellom 4 uker og 3år testet. Alle med mild-til-moderat atopisk eksem.
Resultatene viste en reduksjon i symptomer som kløe, rødhet og søvnproblemer. Hudens tilstand ble forbedret ved å bruke superfin merinoull. (Dette er ull med fiberdiameter på 17,5 mikron eller finere).
Et av resultatene som var spesielt interessant for meg var at barn i ull-først-gruppen (brukte ullklær i seks uker, for så å bruke bomullsklær i seks uker), viste at den atopiske eksemen ble gradvis forbedret for hver uke med ullklærne, for så at den gradvis ble forverret når det var tid for seks uker med bomull.

DESSINE studie er finansiert av The Australian Wool Innovation (AWI) Ltd. Med andre ord er studie betalt av et konsern med stor interesse for at resultatet skal vise retning “Merinoull er best”. Selv om det står klart at AWI ikke har påvirket eller bidratt med vitenskapelig studiedesign, datainnsamling, dataanalyse, manuskriptutarbeidelse eller publikasjonsbeslutninger, skal man alltid være kritisk.
Jeg leter derfor litt til, og finner mange flere. NHI skriver om Studie fra 2019. Og Woolmark som verdens mest kjente ullporodusent, gjør det lett for meg å finne alle studier som er gjort som viser at ull er bra. Og igjen, det er viktig å være kritisk når dette er kun fremhevet på grunn av egen interesse.
Det som fanger mitt øye hos Woolmark, er at de henviser til Debunking the Myth of Wool Allergy: Reviewing the Evidence for Immune and Non-immune Cutaneous Reactions. Skrevet av en gruppe medisinske fagfolk uten interesse-påvirkning. Som det står i rapporten “The authors declare no conflicts of interest”.
Dette er ikke en egen forskning i seg selv, men en grundig gjennomgang av studier gjort de siste 100 årene om ull. Debulking the Myth of Wool Allergy tar for seg alle svakheter med studiene som har vist at ull skaper irritasjon. Spesielt den svakheten med at kun grove ullfibre ble brukt.
“Hudirritasjon forårsaket av ullplagg tidligere år skyldtes høye fiberdiametre”
og at
“Fiber med grov diameter av hvilket som helst stoff kan irritere, men irritasjon er verken generell eller spesifikk egenskapen til ull. Faktisk tyder nyere studier på at superfin eller ultrafin merinoull med finere fiberdiametre kan være til nytte for Atopisk eksem”
Så la meg prøve å finne en studie som peker retning “ull er som piggtrå mot huden”..
Jeg finner Wool as a Cause of Eczema in Children – fra 1951. Samt ATOPIC DERMATITIS – A Study of Its Natural Course and of Wool as a Dominant Allergenic Factor – fra 1953. Lurer på hvilken type ull som ble brukt på 1950-tallet. Tror ikke de forsket med myk og deilig Merinoull. 😅
Begge studiene har to ting til felles; de er gamle og jeg får ikke tilgang til å lese dem. 🤪 Hadde det vært nyere forskning, hadde jeg nok prøvd hardere for å få tilgang.
Problemet med tekstil-forskning fra midten av 1900-tallet, er at det mest sannsynligvis var betalt av en produsent av synetiske stoffer (som DuPont) med mål om å utkonkurrere ull. Dette er jo tiden hvor blant annet Akryl ble utviklet som et “bedre” alternativ for ull.
Foruten om disse to studiene, finner jeg ikke noe. 3-timer med leting og graving på nett.
Om medisinsk fagfolk i dag mener at ull på generelt basis er dårlig for barn og atopisk eksem, bør det vært forskning som støttet dette og som er enkelt å finne? Hadde jeg vært barnelege med spesialisering innen allergiske sykdommer, og personlig ment at ull er et stort problem, ville jeg vært en stor pådriver for å få satt igang et studie. Det er jo tusenvis av bedrifter med interesse om å utkonkurrere ut ull som sikkert ville vært med å spleise på kostnaden her!
Mine egne erfaringer
Min datter Vivienne ble født med svært sensitiv, utslettutsatt hud. Ved to-måneders alderen dukket det opp utslett i form av brannsårlignende blemmer på leggen. Fremdeles vet vi ikke eksakt hvorfor dette skjer. Det skyldes oppsamling av hudceller, men hvorfor det blusser opp som vannblemmer har de ikke klart å finne ut av.
Vi har fått beskjed om å følge med, og være ekstra varsomme i det utslett oppstår.
Naturlig nok ble jeg i denne tiden svært opptatt av hva jeg kler Vivienne i. Og fikk fort øye på forskning som har foregått om at fin Merinoull har vist å være bra for ømfintlig hud og at det har vist å være positiv på atopisk hud. Jeg har lest meg opp om alle de fordelene ullklær har vist på baby og barn. Og personlig fått veldig sansen for babyklær i ubehandlet Merinoull.
Etter det første legebesøket med Vivienne, vil jeg si at hun de første 2årene av sitt liv var kledd i Merinoull innerst 90% av tiden. I dag, i en alder av 4år, sikker 80%-85%. Sommer som vinter. Og det funker. Vivienne kan den dag i dag oppleve eksem og utslett. Feil såpe, visse typer godteri (tror nok det er visse E-stoffer hun reagerer på), feil ansiktsmaling osv. Da er det ofte at jeg blir ekstra oppmerksom på at hun sover i en tynn ullpysj.
Ikke all ull er lik. Grov, kløende ull fra norske sauer kan være problematisk, men jeg har i alle fall personlig erfart at merinoull av høy kvalitet har vært bra for Vivienne sin ømfintlige hud og tider med utslett.
Jeg stiller meg derfor noen spørsmål til Kvenshagens uttalelser:
- Har hun tatt høyde for studier som viser fordelene med superfine merinoull?
- Er anbefalingen om å unngå all ull kun for foreldre som opplever at barn får utslett når de har på seg ull? Eller generelt for barn med atopisk eksem?
Hva kan vi som foreldre gjøre?
Jeg er ikke lege, bare en mor som har lært mye gjennom prøving og feiling, samt lest meg opp i ulike temaer som interesserer meg.
Min anbefaling er å følge hjertet og være oppmerksom. Selvfølgelig er alle barn forskjellige, og noen tåler ikke ull uansett. Men det er viktig å nyansere diskusjonen.
Ja, ser du at ditt barn plutselig får utslett hver vinter når ullklærne tas frem. Kan det godt hende at din lille reagerer på ull. Det kan også være reaksjon på ullsåpen du bruker, eller ullkvaliteten (behandlingsmetoden). Noen vil f.eks reagere på Superwash-merino, men tåle ubehandlet merino. Og vice versa. Du trenger ikke å finne ut av det, men heller gå over til bomull, silke og bambus. Det er topp det og!
Det handler om å finne det som gjør at barnet ditt har det bra.
Min “konklusjon”
Å råde foreldre med å være forsiktig med å bruke ull på barn med atopisk eksem, å si at “Å kutte ut ull inst mot huda kan derfor vere med å førebygge eksem hos barn” mener jeg blir feil. Spesielt når den eneste forskningen som er enkelt for oss foreldre å finne viser det motsatte?
Er det den grove ullen Kvenshagens snakker om, ikke Merino, burde hun understreke dette. For ja, at man bør være forsiktig med grov, stikkende ull i direkte kontakt med barnets sensitive hud kan vi vell alle være enige i?
Til slutt må jeg jo erklærer ingen interessekonflinkt i denne saken. På OhdearBaby.no tilbyr jeg alt fra bomull, bambus, silke, TENCEL og ullklær til baby og barn. Det er heller ingen ullprodusenter jeg har en avtale med om at jeg skal fremme ull. Men på grunn av min personlige erfaring med tanke på babyklær i ull i kombinasjon med eksemutsatt hud, må jeg dele min erfaring og tanker, og få satt litt nyanse på diskusjonen.